Москва и МО: 8 (495) 60-20-100
Регионы РФ: 8 (800) 600-47-24
 
Обмеры: 3D сканирование, 3D модели, чертежи
Градуировка семи резервуаров типа РВС методом лазерного сканирования в Подмосковье и составление градуировочных таблиц

Градуировка семи резервуаров типа РВС методом лазерного сканирования

29.04.2026 г.

Специалистами инженерного предприятия «НГКИ» была выполнена градуировка семи различных резервуаров типов РВС-25, РВС-12, РВС-10 в Московской области по заказу компании, занимающейся производством незамерзающих жидкостей. Для точного учёта произведённой продукции, отпуска продукции и хранения ГСМ и выполняется точная градуировка резервуаров, что и решило сделать руководство данной компании.

Калибровка резервуаров при помощи лазерного сканирования геометрическим методом

Градуировка резервуаров, также известная как калибровка резервуаров и тарировка резервуаров, представляет собой процесс определения зависимости между высотой уровня заполняющей резервуар жидкости и фактическим объёмом резервуара. Результатом градуировки является градуировочная таблица (она же калибровочная таблица), в которой указывается точный объём в зависимости от уровня жидкого продукта относительно принятой для замеров отметки.

Калибровка резервуаров геометрическим методом с использованием технологии лазерного сканирования является для нашей компании обычной задачей: мы много лет осуществляем градуировку наземных и подземных резервуаров, судовых танков, а также различных типов цистерн и трубопроводов. Фактически мы выполняем обмеры резервуаров или трубопроводов электронно-оптическим методом, а подсчёт объёмов производится уже геометрическим методом по созданным точным обмерным 3D моделям. Подобного типа работу мы провели в Московской области, оперативно осуществив лазерное сканирование и 3D моделирование семи различных стальных вертикальных резервуаров (РВС) с составлением в конечном итоге градуировочных таблиц для каждого из семи резервуаров.

Лазерное сканирование внутри резервуара проводит система Leica RTC360 в перевёрнутом виде для целей градуировки Лазерное сканирование внутри резервуара проводит система Leica RTC360 в перевёрнутом виде для целей градуировки

Градуировка семи резервуаров типа РВС на крупном действующем производстве

К специалистам инженерной компании «НГКИ», имеющей аккредитацию в РСК (Российская система калибровки), обратился крупный производитель незамерзающих жидкостей с задачей провести точную градуировку всех имеющихся резервуаров геометрическим методом с применением технологии лазерного сканирования, а также построить точные градуировочные таблицы для каждого резервуара. Представители данного предприятия обратились к нам, поскольку компания «НГКИ» обладает большим многолетним опытом градуировки резервуаров по этой технологии.

Всего на данном промышленном предприятии нашим специалистам было необходимо осуществить точные обмерные работы, 3D моделирование, подсчёт объёмов и составление градуировочных таблиц для семи различных резервуаров типов РВС-25, РВС-12, РВС-10.

Обмеры всех резервуаров были проведены нами методом лазерного сканирования с помощью системы Leica RTC360, которая представляет собой компактный, лёгкий, но очень высокопроизводительный 3D лазерный сканер.

Трёхмерный лазерный сканер Leica RTC360 — высокоточный прибор, дающий возможность в автоматическом режиме проводить до 2 миллионов измерений в секунду, при этом точность каждого единичного измерения для определения пространственных координат составляет 1 мм.

Важной особенностью этого 3D сканера является автоматическое выравнивание точно по горизонту на аппаратном уровне. Сам лазерный сканер может быть наклонён физически, а результаты измерений всё равно получаются точно выравненными по горизонту. Эта функция очень сильно экономит время при перестановке 3D сканера.

Лазерное сканирование внутри резервуара проводит система Leica RTC360 в перевёрнутом виде для целей градуировки Измерение базовой высоты одного из резервуаров типа РВС на предприятии от светового люка с помощью мерной ленты

Попасть внутрь резервуаров было невозможно, поэтому трёхмерное лазерное сканирование выполнялось из верхних люков перевёрнутым 3D сканером Leica RTC360. Огромнейшим преимуществом лазерного сканера при градуировке резервуаров, в отличие от классического тахеометра, нивелира и мерной ленты, является возможность учесть любую форму резервуара, учесть все его вмятины и выпучены, что как раз в данном случае было особенно важно, поскольку некоторые резервуары были сильно деформированы.

Резервуары РВС-12 и РВС-10 имели очень нестандартную форму: днище этих резервуаров представляло собой конус, причём сами эти резервуары были установлены на бетонных опорах, что максимально усложняло процесс попадания внутрь этих резервуаров. И в этом случае также метод градуировки резервуаров с применением 3D лазерного сканера и съёмка в перевёрнутом виде через люки оказался максимально удобным и оптимально практичным.

Построение точной обмерной 3D модели одного из резервуаров по облаку точек лазерного сканирования для калибровки Точная обмерная 3D модель одного из резервуаров, построенная по данным лазерного сканирования для градуировки

Составление градуировочных таблиц резервуаров

Помимо высочайшей точности и оперативности, одним из явных преимуществ геометрического метода градуировки резервуаров с применением 3D обмеров лазерным сканером является возможность осуществления полевых работ практически в любых погодных условиях (от +30°C до -15°C) и в любое время суток. Наши специалисты за много лет работы успешно выполнили сотни проектов по высокоточной градуировке резервуаров всевозможных типов и видов геометрическим методом с применением современной технологии 3D лазерного сканирования, поэтому наш опыт огромен, а квалификация неоспорима.

На этапе обработки полученных полевых данных лазерного сканирования нами были построены детальные обмерные 3D модели всех резервуаров, позволяющие вплоть до самых мелочей учесть сложную форму каждого резервуара, его внутреннюю конструкцию и сложную инфраструктуру, а также любые имеющиеся деформации стенок, что позволяет составить итоговые калибровочные таблицы резервуаров с очень высокой точностью.

Построение точной обмерной 3D модели одного из резервуаров по облаку точек лазерного сканирования для калибровки Точная обмерная 3D модель одного из резервуаров, построенная по данным лазерного сканирования для градуировки

Нашими инженерами были построены точные обмерные 3D модели для каждого резервуара с учётом их геометрии и внутренней инфраструктуры, а затем рассчитаны градуировочные таблицы с шагом в 1 сантиметр.

По итогам всех выполненных работ градуировочные таблицы по всем семи резервуарам были составлены с отличной точностью, порядка 0,1% на высоте наполнения от 1 метра, и переданы Заказчику чётко в оговоренный срок. Заказчик остался очень доволен полученными результатами.

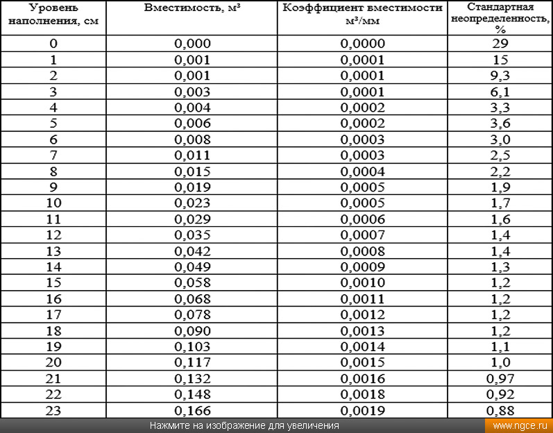
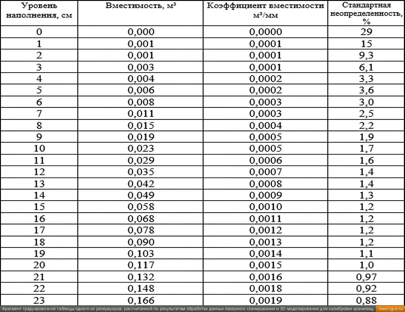
Ниже вы сможете посмотреть пример фрагмента итоговой калибровочной таблицы одного из семи резервуаров типа РВС, которая была с высочайшей точностью рассчитана нашими специалистами по данным проведённого лазерного сканирования и 3D моделирования резервуаров на предприятии в Московской области. На этом фрагменте хорошо видно, что стандартная неопределённость неуклонно уменьшается с каждым сантиметром наполнения резервуара и стремится к нулю при большем наполнении.

Фрагмент градуировочной таблицы одного из резервуаров, рассчитанной по результатам обработки данных лазерного сканирования и 3D моделирования для калибровки хранилищ

Преимущества градуировки резервуаров с применением лазерного сканирования

Градуировка резервуаров с применением технологии лазерного сканирования — единственная методика получения градуировочных таблиц, которая за разумные деньги позволяет в сжатые сроки получить реальные объёмы продукта в резервуарах, поскольку устаревший объёмный метод калибровки резервуаров требует гигантского количества воды или другого жидкого продукта, что влечёт за собой огромную стоимость работы, очень большие временные затраты и итоговую нецелесообразность его применения, не говоря о том, что утилизировать использованную воду вместе с остатками нефтепродуктов крайне проблематично.

Также неоспоримым преимуществом геометрического метода градуировки резервуаров с применением 3D обмеров лазерным сканером является возможность проведения полевых работ практически в любую погоду (температурный диапазон от +30°C до -15°C) и в любое время суток, в отличие от устаревшего объёмного метода калибровки, когда приходится ждать весенне-летнего периода.

Инженерная компания «НГКИ» имеет большой опыт градуировки резервуаров различных видов (судовых, наземных, подземных, автоцистерн, железнодорожных цистерн) и калибровки трубопроводов. Точная градуировка резервуаров и трубопроводов производится геометрическим методом с применением технологии 3D лазерного сканирования, которая даёт возможность зафиксировать реальную геометрию резервуара или трубопровода, а также учесть все их внутренние детали, инфраструктуру. В результате Заказчик получает градуировочные таблицы, рассчитанные с высокой точностью. Более подробно узнать обо всех видах работ, которые выполняет наша компания в данном сегменте рынка, вы сможете на следующей странице нашего сайта:

— «Точная градуировка резервуаров и трубопроводов методом 3D лазерного сканирования».

Телефоны для связи:
Москва и Московская область:
Регионы РФ (бесплатно):
Обмерные работы и инженерные изыскания с применением технологии лазерного сканирования
Знаковые проекты
Наши публикации
Печатные издания
Наши видеоролики